聯系熱線
臭氧監測一級校準質量保證與質量控制 接上一篇文章: 臭氧校準結果計算與評價 7復校時間間隔 臭氧監測一級校準復校時間間隔一般不超過一年。 臭氧傳遞標準在證書有效期內,若出

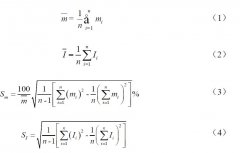
臭氧校準結果計算與評價 接上一篇: 臭氧監測一級校準方法(HJ1096-2020) 6結果計算與評價 6.1校準曲線的繪制 以臭氧標準參考光度計的測定值為橫坐標,臭氧傳遞標準的響應值為縱坐

臭氧監測一級校準方法(HJ1096-2020) 接上一篇: 臭氧監測一級校準設施的組成與要求 5.1儀器預熱 臭氧標準參考光度計開機后預熱穩定應不少于48h,臭氧傳遞標準/臭氧控制標準應充分預

臭氧監測一級校準設施的組成與要求 接上一篇: 環境空氣臭氧監測一級校準術語和定義 4.1臭氧監測一級校準設施的組成 臭氧監測 一級校準設施由臭氧標準參考光度計、零氣發生裝置

環境空氣臭氧監測一級校準術語和定義 1.適用范圍 本標準規定了環境空氣臭氧監測一級校準的要求、臭氧一級標準校準臭氧傳遞標準的方法及其質量保證與質量控制。 本標準適用于臭

分析儀與臭氧系統的連接:全流量,旁路,排氣模式 臭氧分析儀 必須與臭氧系統相連,以便有足夠的樣品氣體流經比色皿。流速有一個下限和一個上限。 從理論上講,很低限度是由臭氧

BMT臭氧光度計靈敏度的穩定性影響因素? 臭氧光度計增益或靈敏度的穩定性取決于以下各項的穩定性:比色皿長度、UV 檢測器、從 UV 燈到檢測器的輻射傳輸以及光度計算。 當計算由像

描述了一種高度便攜的臭氧 (O3) 校準源,可作為美國 EPA 4 級傳輸標準,用于校準臭氧分析儀,并根據分析品質因數以及環境壓力和濕度的影響進行評估。區域的可再現混合比是通過來自

臭氧光度計實際測量的是什么 臭氧光度計只能看到臭氧,但它們對空氣或氧氣是看不見的。這就是為什么他們只能以每體積樣品的臭氧質量來測量樣品中的臭氧含量的原因。尺寸為g/
